गोनैडोट्रोपिन-रिलीजिंग हार्मोन (जीएनआरएच) एगोनिस्ट औषधीय एजेंट हैं जो हाइपोथैलेमस में उत्पादित प्राकृतिक जीएनआरएच हार्मोन की क्रिया की नकल करते हैं। जीएनआरएच प्रजनन प्रणाली का एक महत्वपूर्ण नियामक है, क्योंकि यह दो आवश्यक गोनाडोट्रोपिन की रिहाई को नियंत्रित करता है: ल्यूटिनाइजिंग हार्मोन (एलएच) और कूप-उत्तेजक हार्मोन (एफएसएच)। ये हार्मोन, बदले में, महिलाओं में अंडाशय और पुरुषों में वृषण के कार्यों को नियंत्रित करते हैं, जिससे उचित युग्मक उत्पादन और हार्मोनल संतुलन सुनिश्चित होता है।

गोनाडोरेलिन एसीटेट: संरचना और क्रियाविधि
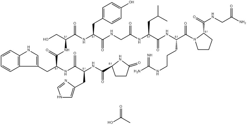
गोनाडोरेलिन एसीटेट, जिसे जीएनआरएच एसीटेट के रूप में भी जाना जाता है, प्राकृतिक जीएनआरएच हार्मोन से प्राप्त एक सिंथेटिक पेप्टाइड हार्मोन है। इसकी रासायनिक संरचना में अमीनो एसिड का एक क्रम शामिल है जो मूल GnRH की आवश्यक विशेषताओं की नकल करता है। एन-टर्मिनस पर एक एसिटाइल समूह (CH3CO-) जोड़ने से इसकी स्थिरता और जैवउपलब्धता बढ़ जाती है, जिससे यह चिकित्सीय उपयोग के लिए उपयुक्त हो जाता है।

GnRH एगोनिस्ट के रूप में गोनाडोरेलिन एसीटेट की क्रिया के तंत्र में पूर्वकाल पिट्यूटरी ग्रंथि में गोनाडोट्रॉफ़ कोशिकाओं की सतह पर स्थित विशिष्ट GnRH रिसेप्टर्स के साथ इसकी बातचीत शामिल है। प्रशासन के बाद, गोनाडोरेलिन एसीटेट आसानी से इन रिसेप्टर्स से जुड़ जाता है, जिससे इंट्रासेल्युलर घटनाओं का एक झरना शुरू हो जाता है।
इंट्रासेल्युलर सिग्नलिंग मार्ग
GnRH रिसेप्टर्स के लिए गोनाडोरेलिन एसीटेट का बंधन फॉस्फोलिपेज़ सी (पीएलसी) मार्ग के सक्रियण को ट्रिगर करता है। इस सक्रियण से द्वितीयक दूत के रूप में इनोसिटॉल ट्राइस्फॉस्फेट (आईपी3) और डायसाइलग्लिसरॉल (डीएजी) का उत्पादन होता है। IP3, बदले में, एंडोप्लाज्मिक रेटिकुलम से इंट्रासेल्युलर कैल्शियम आयनों (Ca2 प्लस) की रिहाई को प्रेरित करता है।

इंट्रासेल्युलर कैल्शियम सांद्रता में वृद्धि और प्रोटीन काइनेज सी (पीकेसी) की सक्रियता पिट्यूटरी गोनाडोट्रॉफ़ कोशिकाओं से संग्रहीत गोनाडोट्रोपिन (एलएच और एफएसएच) के स्राव को सुविधाजनक बनाती है। जारी किए गए गोनैडोट्रोपिन फिर रक्तप्रवाह में प्रवेश करते हैं, जहां वे महिलाओं में अंडाशय या पुरुषों में वृषण तक जाते हैं, और आवश्यक प्रजनन प्रक्रियाओं को उत्तेजित करते हैं।
महिलाओं में, GnRH एगोनिस्ट के रूप में गोनाडोरेलिन एसीटेट की क्रिया मासिक धर्म चक्र और ओव्यूलेशन को नियंत्रित करने में एक मौलिक भूमिका निभाती है। मासिक धर्म चक्र के कूपिक चरण के दौरान, GnRH स्राव से एलएच और एफएसएच स्तर में वृद्धि होती है, जो डिम्बग्रंथि रोम के विकास और परिपक्वता को उत्तेजित करता है। प्रमुख कूप अंततः ओव्यूलेशन के दौरान एक परिपक्व अंडा जारी करता है, जो संभावित निषेचन के लिए तैयार होता है।

सहायक प्रजनन तकनीक (एआरटी) में, इन-विट्रो फर्टिलाइजेशन (आईवीएफ) जैसे प्रजनन उपचार से गुजर रही महिलाओं में ओव्यूलेशन को ट्रिगर करने के लिए अक्सर गोनाडोरेलिन एसीटेट का उपयोग किया जाता है। सफल अंडा पुनर्प्राप्ति और निषेचन के लिए ओव्यूलेशन प्रेरण का सटीक समय महत्वपूर्ण है, और जीएनआरएच एगोनिस्ट के रूप में गोनाडोरेलिन एसीटेट की सटीक कार्रवाई इस प्रक्रिया को सुविधाजनक बनाती है।




